Projects:RiskMassEstimation

From NAMIC Wiki
Jump to: navigation, search
Home < Projects:RiskMassEstimation

Back to Stony Brook University Algorithms


Description

The proposed method has three major components: First, extract the coronary arteries from CTA image and identify stenoses with severe occlusions. Second, segment the left ventricular surfaces from CTA image. Third, estimate the affected mass based on the segmentations of the arteries and left ventricle. These steps are illustrated in the figure below.

  • RiskMassSteps.png

Volume at risk estimation process. Left: Extract the area at risk (purple) on the epicardial surface given the stenosis location (greed dot) on the coronary arteries (red lines). Middle: Trace out the risk contour (yellow) on the endocardial surface. Right: Construct the volume at risk (purple).

Results

In experiments, 11 human cardiac CTA images were used to validate the proposed computational framework. In addition, a comparison was made between the percentage of the myocardial mass at risk estimated from CTA images with their corresponding values determined from SPECT MPI.

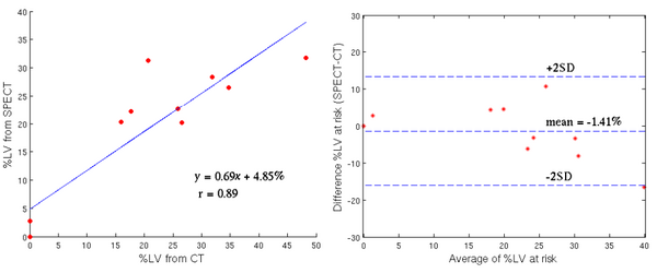
  • RiskMassPlots.png

Left: Correlation analysis. Right: Bland-Altman plot for %LV of CTA vs. SPECT

Key Investigators

  • Georgia Tech: Liangjia Zhu and Anthony Yezzi
  • BWH: Yi Gao
  • Boston University: Allen Tannenbaum

Publications

L. Zhu, Y. Gao, A. Yezzi, C. Arepalli , A. Stillman, and A. Tannenbaum. A Computational Framework for Estimating the Mass at Risk Caused by Stenoses using CT Angiography, Internatial Journal of Cardiac Imaging(IJCI), In preparation.

L. Zhu, Y. Gao, V. Mohan, A. Stillman, T. Faber, A. Tannenbaum. Estimation of myocardial volume at risk from CT angiography, Proceedings of SPIE , pp.79632-38A, 2011.